首页
医院概况
医院介绍
院领导
新闻中心
医院动态
科室介绍
科室概况
专家介绍
特色学组
特色设备
典型案例
公示公告
住院指南
医保政策
公示公告
特色专科
心血管内科专科
泌尿外科专科
神经内科专科
神经外科专科
人才招聘
人才信念
职位信息-人才招聘
招采信息
调研公告
通知公告
招采公告
结果公示
公示公告
住院指南
医保政策
公示公告
首页
>
公示公告
>
公示公告
公示公告
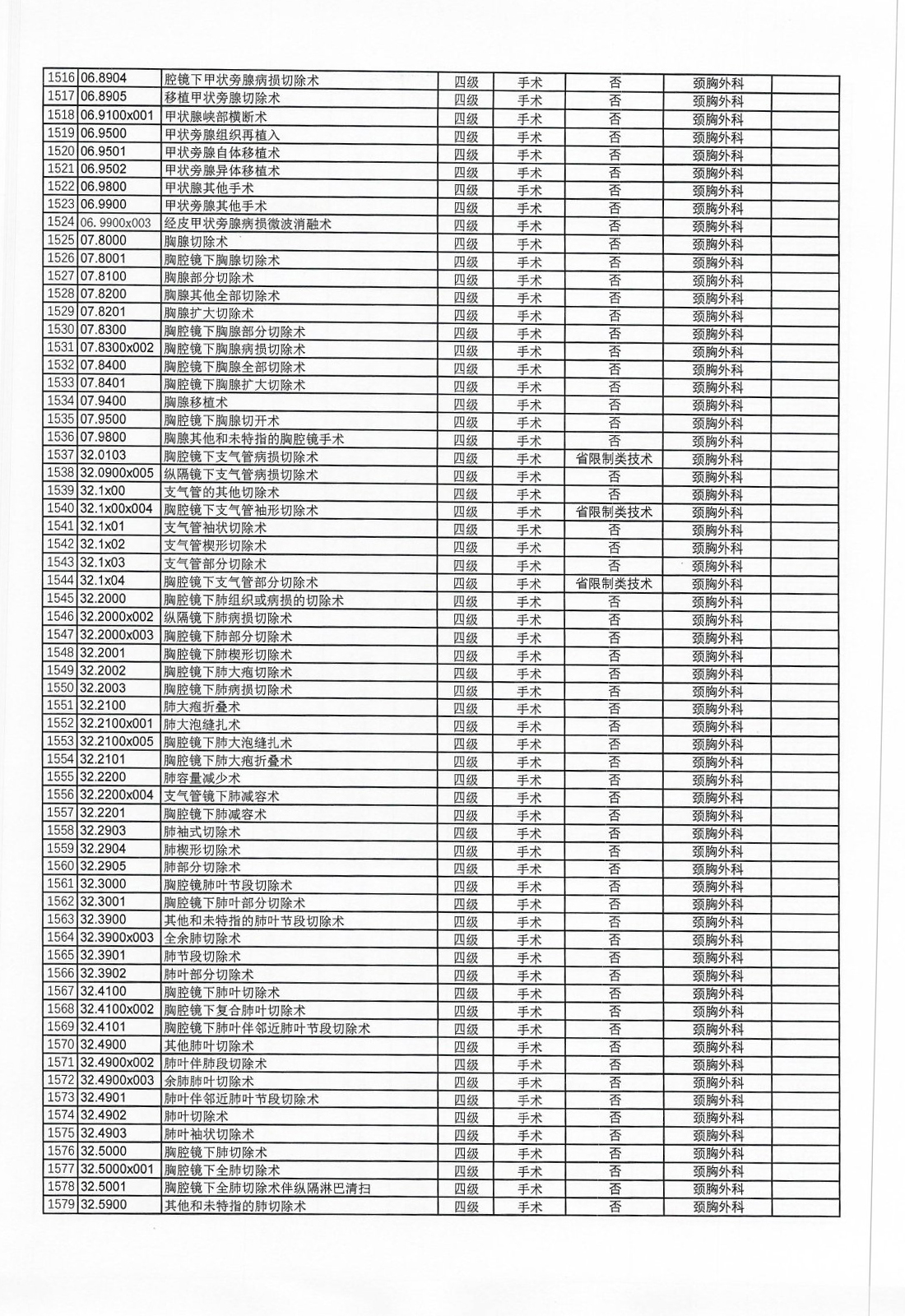
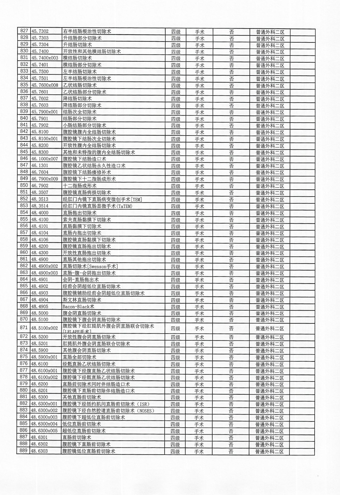
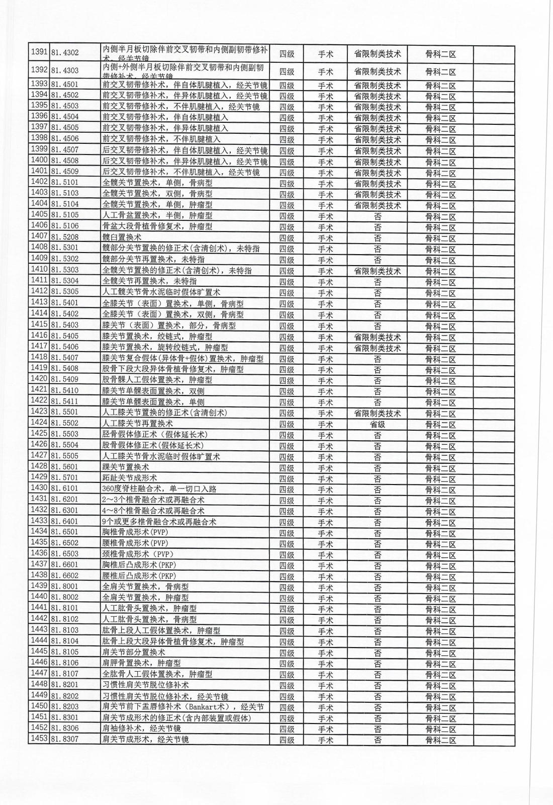
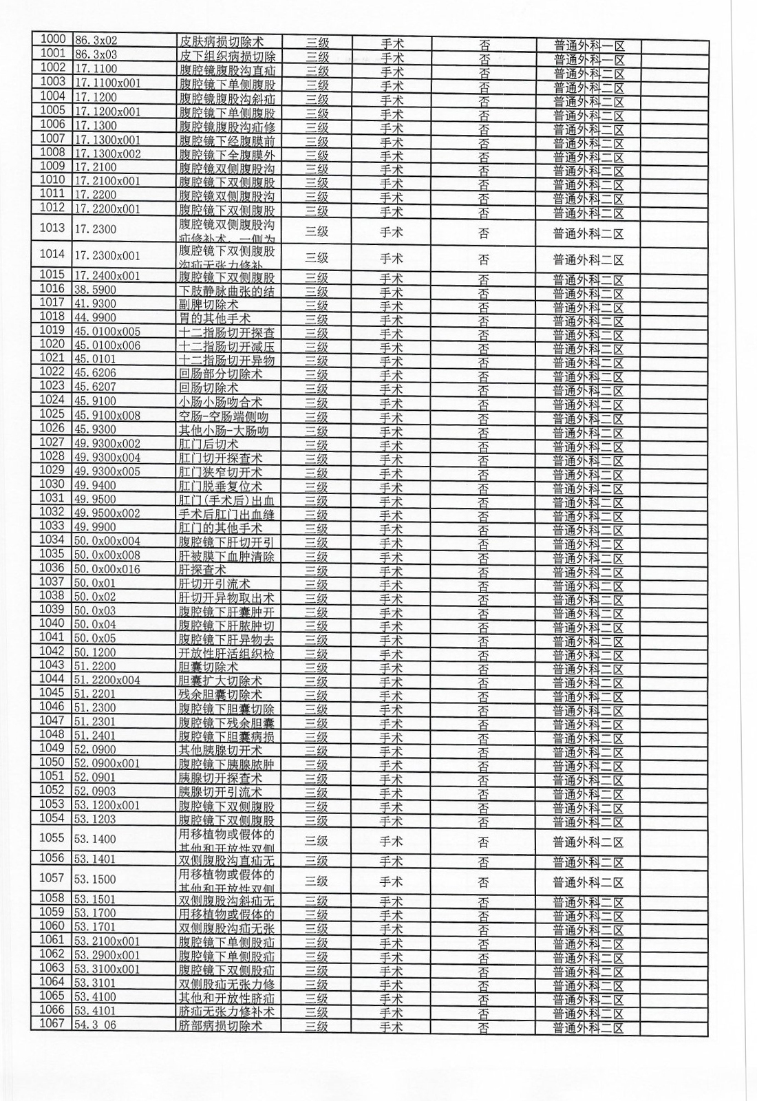
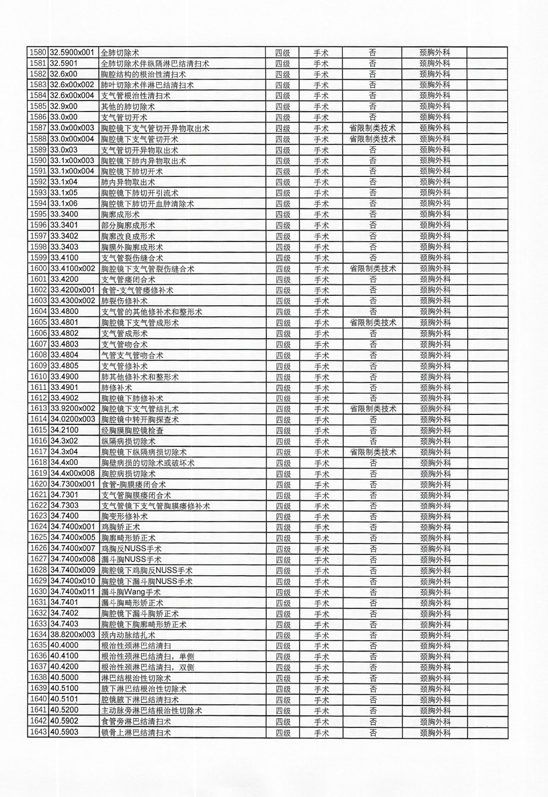
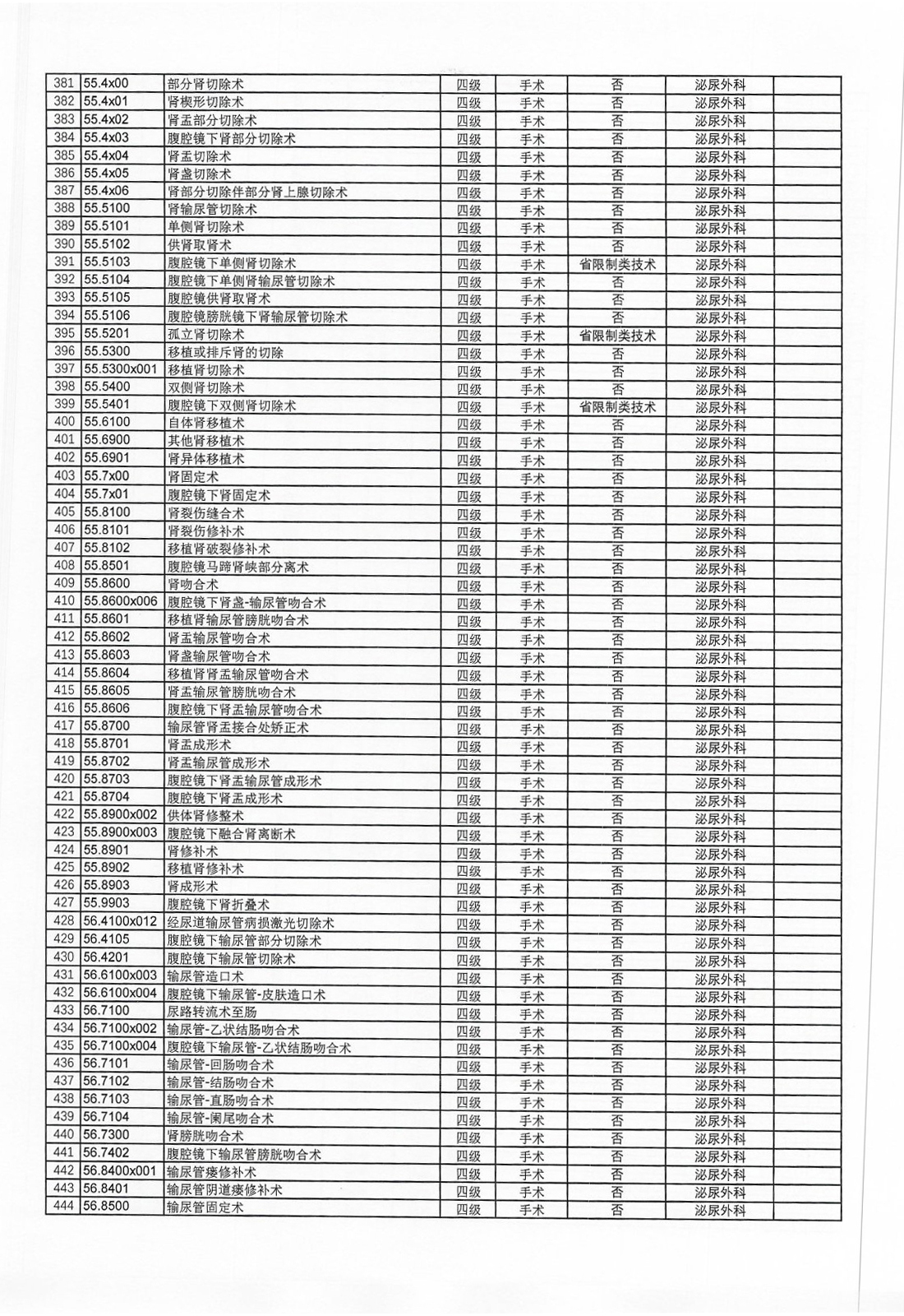
广东省英德市人民医院三、四级手术管理目录
发布时间:2025-03-26
返回
下一下:广东省英德市人民医院2024年公开招聘事业编...